Spis treści
Bezrobocie definicja
Pojęcie bezrobocia doczekało się wielu definicji. Według ujęcia słownikowego, bezrobocie to taka sytuacja na rynku pracy, gdzie występuje więcej osób zdolnych do pracy niż stanowisk, na które mogliby zostać zatrudnieni. W takim przypadku spotykamy się ze zjawiskiem zbyt niskiego popytu, przy jednoczesnej nadwyżce siły roboczej.
Główny Urząd Statystyczny informuje, że za osoby bezrobotne można uznać wszystkich obywateli, którzy nie są zatrudnieni na żadnym stanowisku, ale są chętni i zdolni do pracy, a także aktywnie jej poszukują. Warunkiem jest także, by te osoby były w wieku produkcyjnym oraz nie uczyły się w trybie dziennym.
Inną definicję formułuje Międzynarodowa Organizacja Pracy, która zajmuje się badaniami statystycznymi dotyczącymi bezrobocia. Organizacja ta informuje, że za bezrobotnego można uznać każdą osobę, która w tygodniu prowadzenia badań statystycznych, przez dłużej niż jedną godzinę nie podjęła żadnej pracy zarobkowej.
- jest pełnoletnia,
- kobieta nie ukończyła jeszcze 60 lat, a mężczyzna 65 lat,
- osoba ta ani jej małżonek nie posiada gospodarstwa rolnego,
- nie ma jeszcze prawa do emerytury,
- nie jest właścicielem pozarolniczej działalności gospodarczej albo nie należy jej się ubezpieczenie społeczne z tytułu innej działalności,
- jest osobą niepełnosprawną, ale może pracować w połowie wymiaru czasu pracy lub w pełnym wymiarze.
Głównym miernikiem wielkości bezrobocia jest stopa bezrobocia, czyli procentowa zależność między ogólnymi zasobami siły roboczej a liczbą zarejestrowanych osób bezrobotnych. Na podstawie stopy bezrobocia można zorientować się jaki procent na rynku pracy stanowią osoby bezrobotne.
Bezrobocie w Polsce
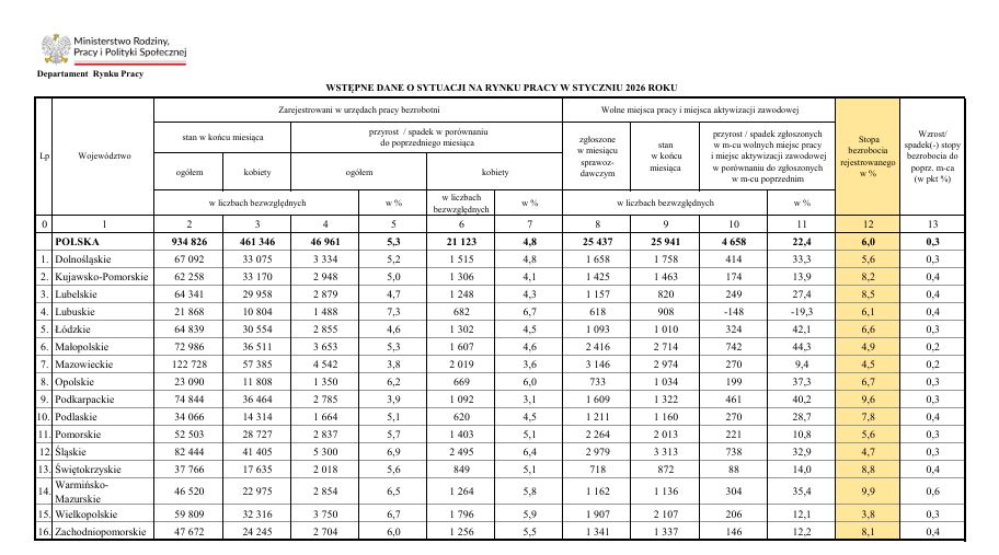
Z najnowszych danych zebranych przez GUS wynika, że obecna stopa bezrobocia w Polsce to 6% (badania ze stycznia 2026 roku). W naszym kraju wskaźnik ten osiągnął rekordową wysokość w 2003 roku, wynosząc 20,7%. Natomiast najniższą stopą bezrobocia mogliśmy szczycić się w styczniu 1990 roku – wynosiła ona wówczas tylko 0,3%. Jednak z upływem kolejnych miesięcy i podczas transformacji ustrojowych poziom bezrobocia bardzo szybko wzrastał. Biorąc pod uwagę najnowszą historię Polski, stopa bezrobocia w wysokości 6% to całkiem nienajgorszy wynik.
Należy także zwrócić uwagę, że poziom bezrobocia w Polsce jest bardzo wybiórczy, toteż bez zatrudnienia są najczęściej osoby, które nie ukończyły jeszcze 35 lat. W obrębie poszczególnych województw różnice w liczbie osób bezrobotnych też są bardzo widoczne.
Wnioski są jednak optymistyczne. W ostatnich latach, dzięki wzbogacaniu się społeczeństwa oraz zwiększeniu poziomu konsumpcji, dostrzegamy widoczny wzrost gospodarczy. Według badań GUS możemy zaobserwować spadek bezrobocia z miesiąca na miesiąc. Nowych stanowisk stale przybywa, a rynek pracy nabiera dynamiki. Z tego powodu zapotrzebowanie na nowych pracowników jest wyższe niż w poprzednich latach, a problem bezrobocia mniej odczuwalny niż dotychczas.
Rodzaje bezrobocia
Bezrobocie to obszerne zjawisko, które dotyczy wielu aspektów rynku pracy. Dlatego też określając rodzaje bezrobocia można wziąć pod uwagę różne czynniki, np. przyczyny tego zjawiska, sposoby pomiaru czy długość jego trwania.
Uwzględniając przyczyny bezrobocia możemy wyróżnić:
- bezrobocie strukturalne – dotyczy zmian w gospodarce lub wśród niektórych jej gałęzi, np. unowocześnienia działów produkcji, zmniejszenia popytu na dany produkt lub przeniesienia przedsiębiorstwa;
- bezrobocie technologiczne – pojawia się najczęściej podczas procesów modernizacyjnych w przedsiębiorstwach. Dotyczy postępu technologicznego, który ma wpływ na zastąpienie ludzkiej siły roboczej;
- bezrobocie frykcyjne – dotyczy ludzi, którzy zmieniają miejsce zamieszkania lub szukają nowej pracy. Może to być np. kobieta, która wraca na rynek pracy po urlopie macierzyńskim albo student, który kończąc studia stara się o dobre stanowisko;
- bezrobocie keynesowskie – zwane jest także bezrobociem cyklicznym lub koniunkturalnym. Uwzględnia wszelkiego rodzaju formy destabilizacji sytuacji gospodarczej – wahania zatrudnienia, produkcji czy kwestii finansowych przedsiębiorstwa. Na bezrobocie keynesowskie ma także wpływ zbyt niski popyt.
Rodzaje bezrobocia są także wyszczególniane na podstawie sposobu mierzenia tego zjawiska. W związku z tym wyróżniamy:
- bezrobocie jawne – dotyczy wszystkich ludzi w wieku produkcyjnym, którzy są zarejestrowani w urzędzie pracy i nie posiadają zatrudnienia;
- bezrobocie ukryte – uwzględnia osoby, które nie posiadają statusu bezrobotnego.
Kolejną kategorią jest podział bezrobocia według czasu jego trwania:
- bezrobocie krótkookresowe – uwzględnia osoby, które nie posiadają zatrudnienia przez czas do 3 miesięcy i są zdolne do pracy;
- bezrobocie średniookresowe – uwzględnia osoby bez zatrudnienia przez czas od 3 do 6 miesięcy;
- bezrobocie długookresowe – uwzględnia osoby, które pozostają bez zatrudnienia przez czas od 6 do 12 miesięcy. Kiedy czas bez zatrudnienia wynosi więcej niż 12 miesięcy, wówczas rozpoczyna się zjawisko bezrobocia chronicznego;
- bezrobocie sezonowe – uwzględnia osoby, które podejmują pracę sezonową przez okres kilku miesięcy. Kiedy sezon się zakończy, wówczas osoby te pozostają bezrobotne. Tego typu bezrobocie dotyczy głównie rolnictwa, rynku turystycznego czy przetwórstwa owoców sezonowych.
Bezrobocie frykcyjne
Zjawisko bezrobocia frykcyjnego występuje wówczas, gdy osoba zdolna do pracy nie jest obecnie aktywna zawodowo i poszukuje pracy w innej firmie lub w innej lokalizacji. Najczęściej do bezrobocia frykcyjnego dochodzi podczas przeprowadzek osób zatrudnionych, w sytuacji kiedy kobiety przerywają aktywność zawodową ze względu na narodziny dziecka lub gdy studenci poszukują swojej pierwszej pracy zaraz po zakończeniu edukacji.
- częstotliwość występowania – bezrobocie frykcyjne to powszechne zjawisko, które występuje w każdym kraju, niezależnie od typu gospodarki. Ludzie bardzo często poszukują lepszych ofert na rynku pracy albo decydują się na przerwę między etapem zakończenia nauki a zatrudnieniem na wybranym stanowisku;
- tymczasowość – bezrobocie frykcyjne trwa zazywczaj maksymalnie 3 miesiące. To optymalny czas na znalezienie nowej oferty pracy lub na adaptację w nowym miejscu zamieszkania;
- brak dotkliwych skutków społecznych – okres długotrwałego bezrobocia może wywołać szereg negatywnych zmian, zarówno w obrębie sytuacji materialnej danej osoby czy rodziny, jak i w psychice osoby bezrobotnej, np. depresja, bezradność, utrata ambicji i motywacji. W przypadku bezrobocia frykcyjnego negatywne skutki zazwyczaj nie są aż tak nasilone. Wręcz przeciwnie, ta krótka przerwa może pomóc w regeneracji sił czy w zdobyciu dodatkowych kwalifikacji.
Skala zjawiska, jakim jest bezrobocie frykcyjne, zależy od szybkości powstawania nowych miejsc pracy. Istotnym czynnikiem jest także komunikacja między osobami poszukającymi pracy, a zatrudniajacymi. Niewystarczający dostęp do informacji na temat nowych miejsc pracy może mieć duży wpływ na wzrost poziomu bezrobocia frykcyjnego. Warto wówczas inwestować w rozpowszechnienie informacji o ofertach pracy, np. poprzez serwisy z ogłoszeniami lub brać aktywny udział w różnego rodzaju targach pracy.
Skutki bezrobocia
W polskiej gospodarce możemy wytypować dwa rodzaje skutków bezrobocia – społeczne i ekonomiczne.
| SPOŁECZNE SKUTKI BEZROBOCIA | EKONOMICZNE SKUTKI BEZROBOCIA |
|---|---|
| Obniżony standard życia – brak pracy może doprowadzić do postępującego ubóstwa i biedy | Ubogi budżet państwa – osoby pracujące muszą obowiązkowo płacić składki ZUS oraz podatki. W sytuacji, gdy duża część społeczeństwa nie jest zatrudniona, znacząco zmniejszają się wpływy do budżetu państwa |
| Wzrost liczby rozwodów – silny stres oraz problemy materialne często wywołują konflikty w rodzinie i mogą przyczynić się do jej rozpadu | Większe wydatki na świadczenia socjalne – osoby bezrobotne pobierają zasiłki z Urzędu Pracy. Przyczynia się to do pogłębiania dziury budżetowej państwa |
| Marginalizacja i izolacja społeczna – ubóstwo wywołane bezrobociem może wywołać izolację społeczną. Poczucie wstydu sprawia, że osoby długotrwale pozbawione pracy mają skłonność do ograniczania kontaktów z bliskimi | Gorszy rozwój gospodarki – ludzie bezrobotni najczęściej nie mają wystarczająco dużo pieniędzy, aby je wydawać. Taka sytuacja sprawia, że maleje popyt na poszczególne produkty, a stanowiska pracy są coraz bardziej redukowane |
| Ryzyko występowania większego poziomu przestępczości – zdarza się, że brak wystarczających środków materialnych skłania do zdobywania pieniędzy z nielegalnych źródeł | Niższe zasoby finansowe w rodzinach – bezrobocie to nie tylko zjawisko obciążające budżet państwa, ale także indywidualne osoby i rodziny |
| Podatność na uzależnienia – długotrwały stres lub depresja, które mogą pojawić się jako skutek braku zatrudnienia, przyczyniają się do częstszego sięgania po używki, takie jak narkotyki czy alkohol | Braki w kapitale ludzkim – długotrwałe bezrobocie przyczynia się do spadku kwalifikacji oraz doświadczenia na rynku pracy |
Społeczne i ekonomiczne skutki bezrobocia często się ze sobą łączą i wzajemnie uzupełniają, np. gorsza sytuacja materialna rodzin może powodować wzrost liczby rozwodów oraz przyczyniać się do izolacji wobec bliskich.
Bezrobocie strukturalne
Bezrobocie strukturalne wynika z niedostosowania kwalifikacji pracowników do potrzeb zatrudniających, podczas ciągłych zmian w podaży i popycie na rynku pracy. Zjawisko to jest zauważalne szczególnie wtedy, gdy przez zbyt niski kapitał, nie powstają nowe miejsca pracy. Bezrobocie strukturalne osiąga wysoki poziom także wówczas, gdy niektóre gałęzie gospodarki przechodzą kryzys, a inne się rozwijają, oferując nowe miejsca pracy. Musi wówczas dojść do przekwalifikowania pracowników, ponieważ ich dotychczasowe umiejętności nie przydają się na nowych stanowiskach.
Do bezrobocia strukturalnego może doprowadzić także nieodpowiedni system szkolnictwa, który rozmija się z potrzebami współczesnego rynku pracy. W takiej sytuacji wiele osób, mimo chęci podjęcia zatrudnienia, nie może znaleźć odpowiedniego stanowiska, ponieważ pracodawcy oferują miejsca pracy, które nie odpowiadają ich kwalifikacjom.
Bezrobocie strukturalne może w znaczącym stopniu zagrażać gospodarce kraju, ponieważ najczęściej posiada charakter długotrwały. Znalezienie nowej pracy jest wówczas problematyczne, a zmiana zawodu często wymaga przebranżowienia lub zmiany miejsca zamieszkania. Wyeliminowanie tego typu bezrobocia jest zazwyczaj bardzo kosztowne dla budżetu państwa.
Przyczyny bezrobocia w Polsce
Z czego wynika bezrobocie w Polsce? Braki w wyspecjalizowanej kadrze pracowniczej oraz różnice w rozwoju gospodarczym między poszczególnymi regionami kraju – to tylko niektóre z przyczyn bezrobocia w kraju. Niegdyś, najwyższa liczba osób bezrobotnych była skutkiem dynamicznych zmian ustrojowych, zachodzących w latach 90. XX wieku. Jednak obecnie powody bezrobocia wciąż się zmieniają. Teraz, gdy stan gospodarki można uznać za stabilny, główne przyczyny bezrobocia w Polsce to:
- niedopasowanie oferty edukacyjnej do realnych potrzeb pracodawców;
- mechanizacja i automatyzacja pracy w przedsiębiorstwach;
- mniej miejsc pracy w organizacjach państwowych;
- ogromny rozwój dużych korporacji w stosunku do niewielkich, lokalnych przedsiębiorstw;
- dużo stanowisk wśród prac sezonowych.
W ostatnich latach w Polsce obserwujemy również niepokojącą tendencję wśród osób zdolnych do pracy, które nie podejmują pracy świadomie i z wyboru. Rozbudowane i coraz to nowe programy socjalne proponowane przez państwo w niektórych grupach społecznych powodują niechęć do podjęcia pracy. W efekecie rzeczywista liczba osób bezrobotnych w Polsce jest sztucznie zawyżona przez osoby, które po prostu nie chcą podjąć pracy i wybierają życie na zasiłku.
Bezrobocie koniunkturalne
Bezrobocie koniunkturalne zwane jest inaczej bezrobociem cyklicznym lub keynesowskim. Ten rodzaj bezrobocia zależy od stanu gospodarki – jeżeli jest ona w fazie recesji, wówczas bezrobocie koniunkturalne wzrasta, natomiast podczas zjawiska koniunktury – maleje.
Autorem pojęcia „bezrobocie koniunkturalne” jest angielski ekonomista – John Maynard Keynes. Wytypował on działania, które mogą pomóc w trakcie regresji gospodarki i w czasie wzrostu bezrobocia cyklicznego. Są to między innymi:
- pozwolenia na wykonywanie zawodu,
- kontrola importu i eksportu,
- nacjonalizacja firm,
- dofinansowania dla upadających przedsiębiorstw,
- uzgodnienie minimalnej płacy.
Bezrobocie koniunkturalne występuje najczęściej w trakcie kryzysów ekonomicznych w państwie. Przez coraz gorszą sytuację gospodarczą zmniejsza się popyt na produkty oraz usługi, a tym samym maleje liczba miejsc pracy. Po stanie regresu gospodarczego, pojawia się zjawisko koniunktury – zwiększa się liczba stanowisk pracy, a bezrobocie koniunkturalne zmniejsza się.
Bezrobocie w największych miastach w Polsce
Z aktualnych danych wynika, że stopa rejestrowanego bezrobocia w Polsce wynosi 6%, a osób bezrobotnych jest 934,8 tysięcy.
W najnowszych badaniach GUS można zaobserwować nie tylko poziom bezrobocia w kraju, ale także sytuację gospodarczą w poszczególnych województwach. Raport potwierdza, że w Polsce występuje spore zróżnicowanie między regionami. W województwie podkarpackim średnie bezrobocie wynosi 9,6%, a w województwie wielkopolskim tylko 3,8%. Podobne zróżnicowanie można zaobserwować w największych miastach w Polsce (według danych ze stycznia 2026 roku):

Z raportu GUS wynika, że najłatwiej zdobyć pracę w Warszawie, we Wrocławiu i w Poznaniu. Natomiast najwięcej trudności ze znalezieniem pracy można doświadczyć w Radomiu, Elblągu i w Kielcach.
Autor opracowania: Agata Piszczek